A recorrência da glomeruloesclerose segmentar e focal (GESF) após transplante renal é um dos grandes desafios na prática do transplantador, especialmente nos pacientes com histórico de recidiva em enxerto prévio. Novas estratégias profiláticas têm sido testadas, mas será que funcionam?
📚 **Referência**: Uro-Coste C, et al. Nephrol Dial Transplant. 2025 [**[link](https://doi.org/10.1093/ndt/gfae108%20)**]. 🔗
**🔬 Modelo do Estudo**
Estudo observacional retrospectivo multicêntrico realizado em 25 centros da França, incluindo pacientes com mais de 18 anos que receberam novo enxerto entre 2004 e 2020 após recidiva comprovada de GESF em transplante anterior. Ou seja, todos eram pacientes de elevado risco de recidiva por já possuírem histórico de recorrência da doença no enxerto prévio.
**📌 Grupos Estudados**
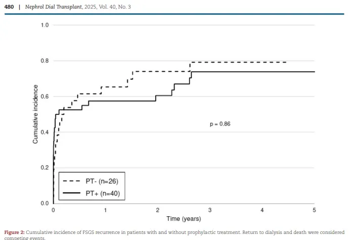
Os 66 pacientes incluídos foram divididos em dois grupos:
• Grupo PT+: 40 pacientes receberam tratamento profilático (ciclosporina IV, rituximabe e/ou plasmaférese).
• Grupo PT–: 26 pacientes não receberam profilaxia.
A escolha da intervenção foi feita por cada centro, e os protocolos variaram em tipo, dose e tempo.
**🚨 Taxas de Recorrência**
Os resultados mostraram recorrência em 72,7% dos casos no total:
• 76,9% no grupo PT–
• 70,0% no grupo PT+
Diferença não significativa (P = 0,54).
**✅ Remissão e Sobrevida do Enxerto**
Apesar da alta taxa de recidiva, 87,5% dos pacientes atingiram pelo menos remissão parcial.
A sobrevida do enxerto em 5 anos foi de 67,7%, sem diferença significativa entre os grupos.

###### **⚠️ Considerações Importantes**
• Pacientes do grupo PT+ eram mais jovens e perderam enxertos anteriores mais rapidamente (isso indica doença mais grave no grupo PT+).
• A recidiva ocorreu precocemente (mediana de 4 dias no grupo PT+).
• A profilaxia pode ter sido usada em pacientes com risco ainda maior, o que dificulta inferências diretas.
###### **📖 Perspectiva Clínica**
Embora o uso profilático seja frequente, este estudo sugere que ele não deve ser rotina mesmo em pacientes de altíssimo risco. A descoberta recente do papel dos anticorpos anti-nefrina na GESF e sua recorrência pós-transplante abre possibilidades promissoras de estratificação e intervenção mais direcionada no futuro.
###### **📌 Em resumo:**
• A profilaxia não reduziu a taxa de recidiva de GESF.
• A sobrevida do enxerto em 5 anos foi satisfatória, mesmo em pacientes de alto risco.
• O anticorpo anti-nefrina pode ser um biomarcador promissor para guiar a prevenção futura.